Serial Designation V
- Matthew Nguyen

- May 20, 2025
- 1 min read
Updated: Oct 4, 2025
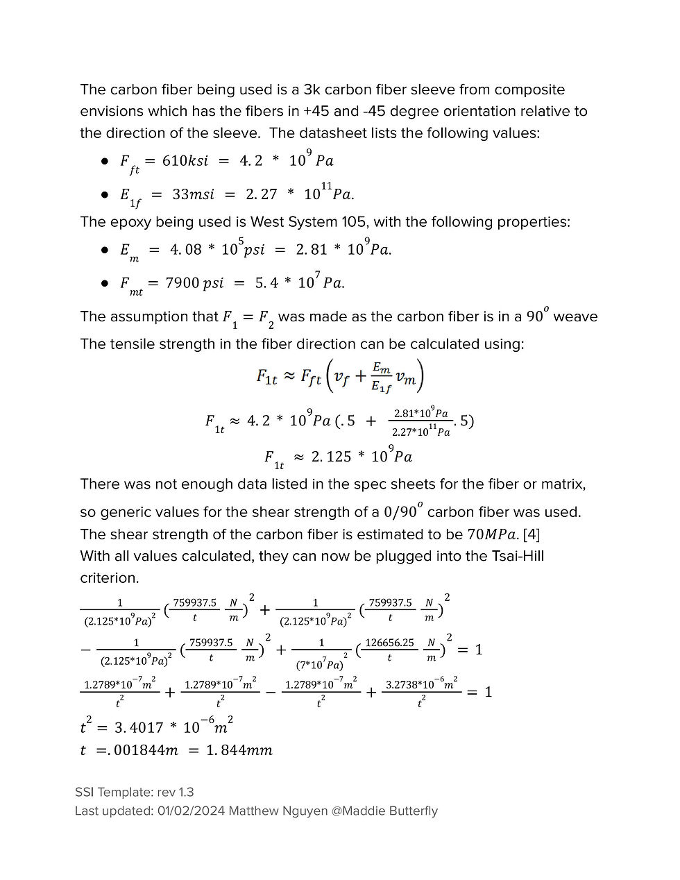
While looking through a motor inventory, we found some spare grains for reloadable H550ST motors, but without much additional hardware. The grains were still usable, but not as a commercial reload. Instead, I attempted to load them into a custom motor casing in order to test the capabilities of custom composite motor casings as they have the advantage of being more lightweight than standard aluminum motor casings. The original version of the rocket was meant to use a custom layup for the carbon fiber casing that also acted as the tailcone of the rocket. Attached below are the flight report for the final version along with the preliminary design document for the original version.

















Comments